咨询热线:0523-84951799 18961028599

联系我们

靖江市华德环保设备制造有限公司
总部地址:江苏省靖江市经济技术开发区城北园区新一路61号
服务热线: 0523-84951799
手机:18961028599
位置:首页 > > 产品展示
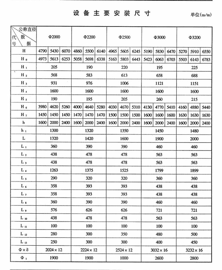
无顶压逆流再生一级钠离子交换器
产品型号:
产品产地:
发布日期:2021-03-06
浏览次数:
咨询电话:0523-84951799
关 键 词:
下一个产品 上一个产品

详细介绍


ewm